| 일 | 월 | 화 | 수 | 목 | 금 | 토 |
|---|---|---|---|---|---|---|
| 1 | 2 | 3 | 4 | 5 | 6 | 7 |
| 8 | 9 | 10 | 11 | 12 | 13 | 14 |
| 15 | 16 | 17 | 18 | 19 | 20 | 21 |
| 22 | 23 | 24 | 25 | 26 | 27 | 28 |
| 29 | 30 | 31 |
- 3dprinter
- 석사
- Ai
- 파이썬
- ComputerVision
- C언어
- 산업대학원
- 특수대학원
- coding
- Python
- 머신비전
- machinevision
- 직장인
- 인공지능
- 영어기초
- 프로그래밍
- 영어회화
- 딥러닝
- 동사
- 코딩
- 4차산업
- 영어공부
- 머신러닝
- Vision
- 오픽
- 파이썬gui
- opencv
- 영어
- 대학원
- 초보영어
- Today
- Total
미래기술연구소
Kalman Filter 본문
Kalman filtering
• Problem: assign observer poles in an optimal way, that is to minimize the state estimation error

• Information comes in two ways: from sensors measurements (a posteriori) and from the model of the system (a priori)
• We need to mix the two information sources optimally, given a probabilistic description of their reliability (sensor precision, model accuracy)
• The Kalman filter solves this problem, and is now the most used state observer in most engineering fields (and beyond)
What does a Kalman Filter do, anyway?
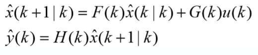
• Given the linear dynamical system:

The Kalman Filter is a recursion that provides the “best” estimate of the state vector x
Covariance?

What’s so great about that?

• noise smoothing (improve noisy measurements)
• state estimation (for state feedback)
• recursive (computes next estimate using only most recent measurement)
How does it work?

1. prediction based on last estimate:

• 2. calculate correction based on prediction and current measurement:

• 3. update prediction:

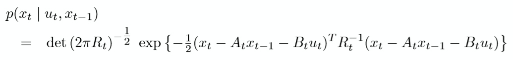
Kalman filter • Kalman filter assumes a linear transition and observation model
• zero mean Gaussian noise

• Mean of the posterior state is given by Atxt-1+Btut and the covariance Rt

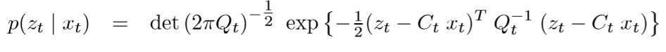
• Measurement probability

'Industry 4.0 > Control Engineering' 카테고리의 다른 글
| Linear systems (0) | 2020.06.22 |
|---|---|
| LQR 제어 란 ? (0) | 2020.06.01 |
| Kalman filter란? (0) | 2020.06.01 |
| 제어공학 강의자료 (0) | 2020.05.10 |
| PLC 란? PLC가 뭐야? (0) | 2020.05.07 |